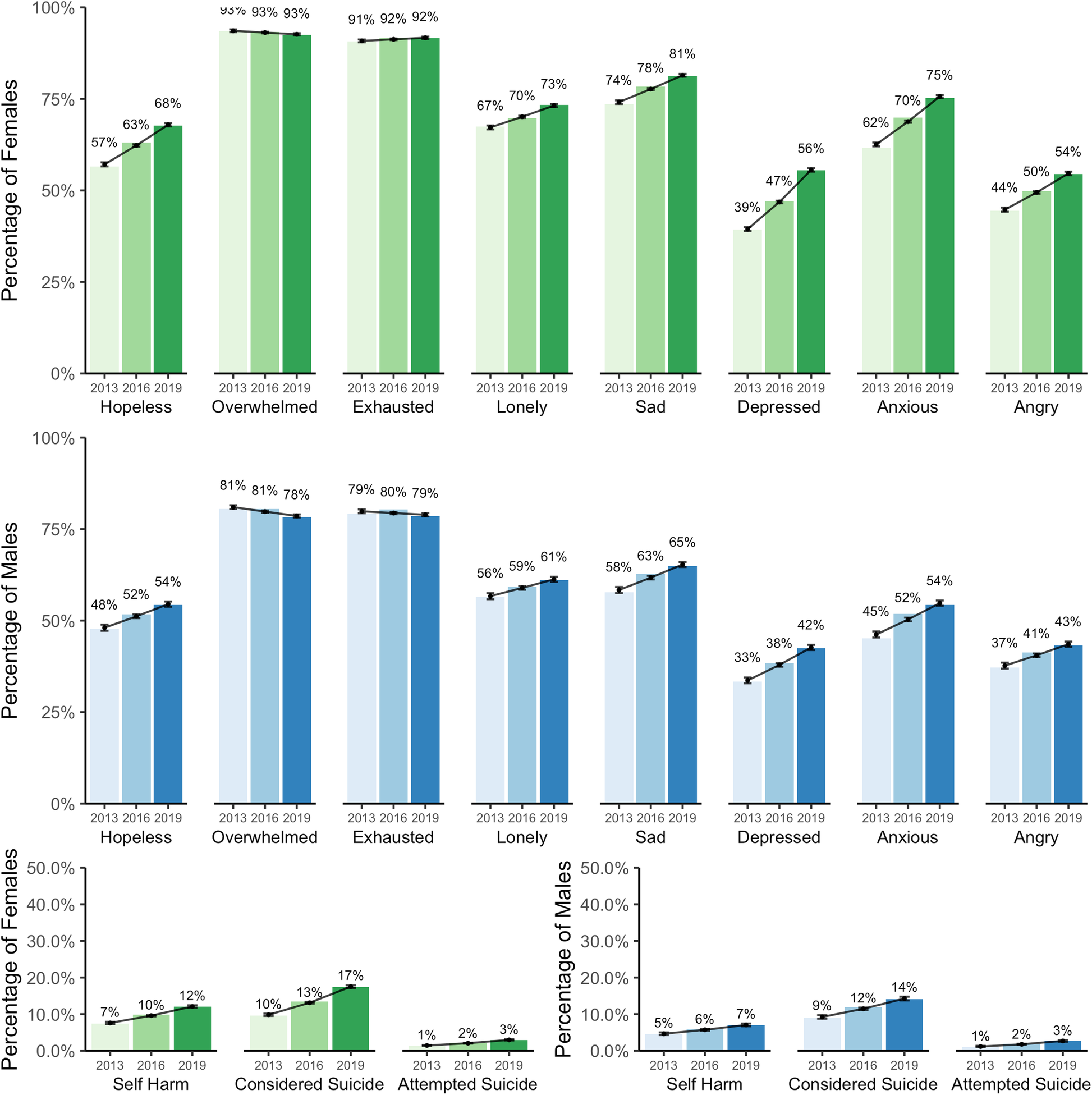
Fig. 2From: Cross-sectional trend analysis of the NCHA II survey data on Canadian post-secondary student mental health and wellbeing from 2013 to 2019Proportion reporting symptoms of general (above) and extreme (below) psychological distress over time, by sexBack to article page