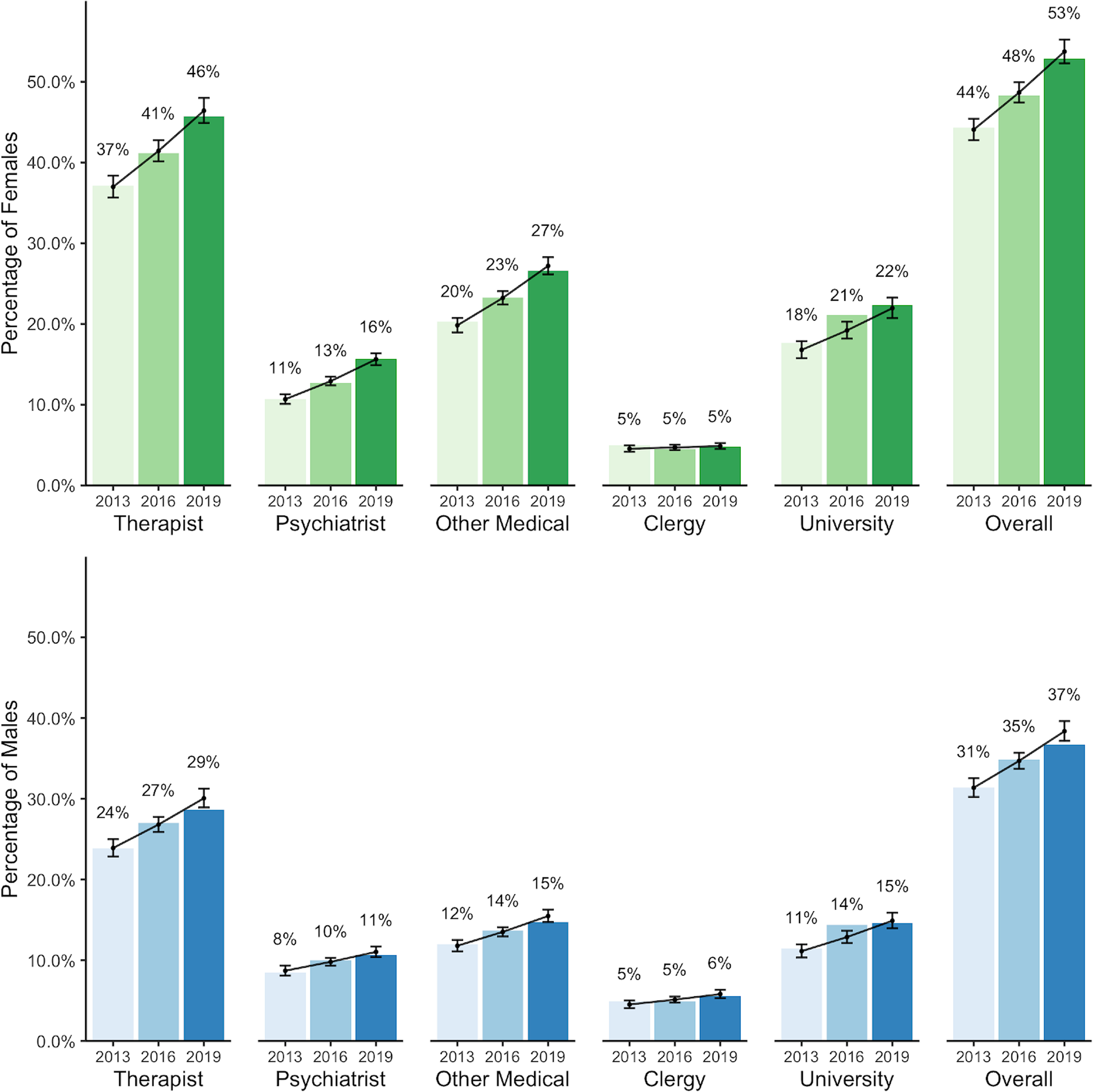
Fig. 5From: Cross-sectional trend analysis of the NCHA II survey data on Canadian post-secondary student mental health and wellbeing from 2013 to 2019Proportion of students who reported seeking help for mental health related challenges from various sources, by sexBack to article page